Minimum wages have a significant effect on negotiated and actual wages
Published: 23 June 2025
In recent years, national minimum wages have risen sharply across EU countries, making their influence on collective wage bargaining and general wage developments increasingly relevant. The findings show that national minimum wages have a positive impact on raising negotiated wage levels. However, careful policy design is required to avoid the crowding-out of collective bargaining, especially in low-paid sectors. Minimum wages also play a key role in improving wage levels among the lowest-paid employees, although spillover effects occur across the wider wage distribution.
Minimum wage policy has become increasingly popular across EU Member States in recent decades, with wage floors growing more than average and median wages in many countries. This policy emphasis has been further strengthened by the new EU Directive on Adequate Minimum Wages. In this context, the possible impact of higher national minimum wages has become highly relevant for policymakers. So how do changes in national minimum wages affect collective wage bargaining and actual wages?
National minimum wages trigger improvements in collectively agreed wage floors
Against the background of relatively higher national minimum wages, the debate on whether national minimum wages could weaken collective wage bargaining has become even more important. This concern is reflected in the directive, which in Article 4 includes a requirement for national governments to promote collective wage bargaining frameworks.
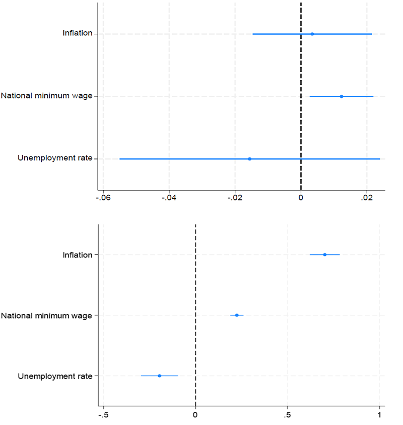
Empirical findings by Eurofound – based on a sample of nearly 700 collective agreements in low-paid sectors across 17 EU Member States between 2015 and 2022 – show that higher national minimum wages did not discourage collective wage bargaining. On the contrary, they contribute to raising collectively agreed wage floors in these low-paid sectors (Figure 1).
The research investigated whether increases in national minimum wages influenced the probability of social partners signing new collective agreements. In addition to the time elapsed since the previous agreement, the change in the national minimum wage level since the last agreement emerged as the main factor increasing the probability of signing a new agreement (see upper panel of Figure 1). Changes in inflation and unemployment did not exert a significant effect on the probability of a new agreement being signed.
The study also investigated the extent to which changes in national minimum wages increase collectively agreed wage floors. The results show a significant positive effect: if the minimum wage increases by 1%, the new negotiated wage rises by 0.22% (see bottom panel of Figure 1).
In this case, inflation would have a larger effect than the national minimum wages in driving nominal negotiated wages upwards (elasticity being 0.7). Unemployment also emerges as a significant factor: higher unemployment rates are associated with a negative effect on bargained wages, as expected.
Figure 1: Impact of national minimum wages on (upper panel) the probability of signing a new collective agreement and (bottom panel) the magnitude of increases in negotiated wages: estimated coefficients

Notes: The estimates are based on a two-stage type II Tobit model, which is estimated in two stages. The blue dots represents the point estimate coefficient of the effect of inflation, national minimum wage and the unemployment rate on the probability of signing a new collective agreement (upper panel) and on collectively agreed wages (bottom panel), while the dotted lines represent the confidence interval. If the confidence line does not cross the zero line, an estimate is statistically significantly different from zero with a 95% confidence level. Estimates from a probit model corresponding to the agreement equation with duration and non-compliance dummies, different types of fixed effects (collective agreement, country and month) and a time trend. Confidence intervals (95%) were computed using robust standard errors.
Source: Eurofound 2025.
These empirical findings were complemented and nuanced by qualitative insights from interviews examining the interactions between national minimum wages and collective agreements. The analysis draws on 40 interviews conducted in six countries (Germany, France, Portugal, Romania, Slovenia, Spain) and two low-paid sectors: the manufacture of food and drink, and residential and social care.
Although social partners’ perceptions on the role of national minimum wages varied across countries and sectors, some evidence emerged of a reduced scope for negotiating pay and working conditions. In cases where national minimum wages approached the level of collectively agreed basic minima, the focus of the negotiations shifted from basic pay to other components of remuneration.
However, the research did not find any strong evidence of a crowding-out effect of collective bargaining, that is, a halt in the renegotiation of agreements. Nor was there any observed impact on sectoral collective bargaining coverage or the landscape of bargaining actors.
While the research overall did not point to any detrimental effects of national minimum wages on collective bargaining for low-paid workers between 2015 to 2022, it will be important to continue observing the situation for low-paid sectors going further.
National minimum wages have an extended knock-on effect on actual wages
In many EU Member States, national minimum wages have been growing faster than average and median wages. As minimum wages become relatively higher, a key policy concern is whether minimum wage policy directly affects a larger share of employees and contributes to overall wage developments.
Eurofound empirical results show that national minimum wages have a significant impact on the wages of low-paid workers – represented here as those in the first quartile of the wage distribution, which includes the lowest-paid 25% of employees. On average, a 1% increase in the national minimum wage led to a 0.31% increase in the wages of low-paid employees during the period 2006–2021. This effect is even larger in the most recent sub-period of 2015–2021, when a 1% increase in the national minimum wage resulted in a 0.43% increase in wages for low-paid employees.
One possible explanation for the stronger effect in recent years is that relatively higher minimum wages – in relation to average wages – would directly affect a larger proportion of employees and therefore have greater potential to raise wage levels among the lowest-paid.
Importantly, the impact of minimum wage policy in significantly raising wages at the bottom of the wage distribution mainly stems from periods of substantial increases to minimum wages, as shown in Figure 2. Increases of up to 15% generally raise wages among the lowest-paid employees, although changes of less than 5% have little measurable effect. Larger hikes – those above 15% – have by far the most statistically significant and sizeable impact. These transformative interventions are the main reason behind the positive association observed between national minimum wages and wage growth for low-paid employees.
These findings point to potential spillover effects of national minimum wages increases along the wider wage distribution. Empirical analysis reveal a positive association between increases in the national minimum wage and developments at both the median and the upper wage quintile (including the 25% of employees with the highest wages). The magnitude of this effect is comparable to that observed for low-paid employees.
These results suggest that, on average, minimum wage increases have an upward effect across the entire wage distribution (whose evolution is in any case driven by many other factors beyond minimum wage policy).
Figure 2: Effect of national minimum wage increases on low-paid wages by intensity of change

Notes: See notes for Figure 1. Intervals are defined based on annual nominal increases in the national minimum wage in the national currency. Low-paid employees include the first wage quartile (25% of employees with the lowest wages).
Source: Eurofound 2025.
These broader effects are consistent with instances where large minimum wage hikes have a significant short-term compression effect on the wage distribution, as a result of a strong wage growth among low-paid employees.
This is clearly reflected in Figure 3, which uses longitudinal data, showing changes in wage levels in the year minimum wages changed, across the whole distribution. The data are grouped by wage deciles – from the lowest-paid 10% of employees to the highest-paid 10% of employees. Results show that only out of the ordinary minimum wage hikes (above 15%) have a strong effect in compressing the wage distribution, as they disproportionately raise wages among the lowest-paid employees.
Figure 3: Growth rate in observed wages by wage decile (year periods by significant increases in national minimum wages)

Source: Eurofound.
This pattern is further confirmed by examining specific cases of substantial national minimum wage hikes across the EU. These include a 23% increase in Slovenia in 2020, a 22% increase in Spain in 2019, and the introduction of the national minimum wage in Germany in 2015, which led to a strong boost in wage floors.
These findings show that these policy interventions had a disproportionate effect in raising wages among the lowest-paid employees, compressing the wage distribution and significantly reducing wage inequality.
Image © Dusan Petkovic/Adobe Stock
Learn more about the authors of this publication.
Eurofound recommends citing this publication in the following way.
Eurofound (2025), Minimum wages have a significant effect on negotiated and actual wages, article.